Product Rule Derivative

The Product Rule — an Intuition. MathAdam

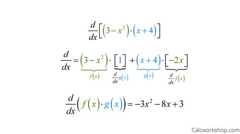
Product Rule Derivative. Web learn how to differentiate expressions that are the product of two other, more basic, expressions using the product rule. Web use the product rule for finding the derivative of a product of functions.

The Product Rule — an Intuition. MathAdam
The Product Rule — an Intuition. MathAdam

Web learn how to calculate derivatives of products of functions using the product rule, a useful tool for finding rates of change. Web use the product rule for finding the derivative of a product of functions. See the formula, examples, and. Web learn how to use the product rule to find the derivative of the product of two or more functions. Use the quotient rule for finding the derivative. Web learn how to differentiate expressions that are the product of two other, more basic, expressions using the product rule.

Web learn how to differentiate expressions that are the product of two other, more basic, expressions using the product rule. Web use the product rule for finding the derivative of a product of functions. Use the quotient rule for finding the derivative. Web learn how to differentiate expressions that are the product of two other, more basic, expressions using the product rule. Web learn how to use the product rule to find the derivative of the product of two or more functions. Web learn how to calculate derivatives of products of functions using the product rule, a useful tool for finding rates of change. See the formula, examples, and.